前文中我們介紹了什么是房間駐波,以及它會對音質產生哪些影響。
點擊回顧▼什么是駐波?對音質會有什么影響?
本文將帶大家了解如何從理論上得到房間的駐波頻率,并理解這些頻率及其分布,從而更好地優化房間的聲學效果。
駐波是房間簡正模式的一種表現形式,房間簡正模式(Room Normal Modes)是指房間內聲場的固有振動模式。每個簡正模式對應一個特定的頻率,稱為簡正頻率。簡正模式的物理意義是,每個簡正模式代表一個駐波模式,而每個簡正模式的簡正頻率就是房間的共振頻率。
對任何沒有聲學處理過的房間來說,房間尺寸就是駐波產生的決定因素。當房間尺寸與低頻部分波長相近或與低頻部分波長呈簡單倍數關系時,房間就會產生駐波現象,即導致共振現象。
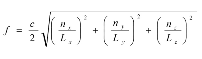
01 計算公式
房間駐波頻率(簡正頻率)可以通過以下公式計算:

其中:c為聲速;Lx、Ly、Lz分別為房間的長、寬、高,單位為m;nx、ny、nz分別為0~∞任意正整數(不包括nx=ny=nz=0)。
矩形房間的簡正模式可以分為三種類型:軸向模式——指傳播方向平行于矩形房間任一軸線(1維)的駐波模式,即為(nx,0,0)、(0,ny,0)和(0,0,nz)。切向模式——指傳播方向平行于矩形房間任一面(2維)的駐波模式,即為(nx,ny,0)、(nx,0,nz)和(0,ny,nz)。斜向模式——指傳播方向為一斜面(3維)的駐波模式,即為(nx、ny、nz)。
矩形房間中的共振圖示
在房間簡正模式中,由于切向模式和斜向模式的傳播路程較長,其幅度往往因反射次數較多(多次界面聲吸收) 而變得較小。因此一般來說,軸向波最強,切向波次之,斜向波最弱。
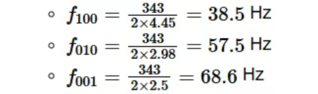
我們以房間尺寸為長4.45米,寬2.98米,高2.5米來計算舉例,則該房間的軸向模式基頻(駐波)如下:
注:駐波不僅在基頻處出現,還會在倍頻處出現。例如,38.5Hz的駐波也會在77Hz、154Hz等倍頻處出現。
02 計算工具
DT Acoustic小程序聲學工具箱內置房間共振頻率計算,輸入當前房間的空間尺寸、室內溫度,即可自動計算出該房間的共振頻率。如下圖所示:



















